Beranda
/ Soal Pembagian Aljabar Kelas 7 Kurikulum 2013 / Pembagian Aljabar X 2x 5x 6 Oleh X 2 Plis Pakek Cara Brainly Co Id - Sie suchen den besten sale?
Soal Pembagian Aljabar Kelas 7 Kurikulum 2013 / Pembagian Aljabar X 2x 5x 6 Oleh X 2 Plis Pakek Cara Brainly Co Id - Sie suchen den besten sale?
Soal Pembagian Aljabar Kelas 7 Kurikulum 2013 / Pembagian Aljabar X 2x 5x 6 Oleh X 2 Plis Pakek Cara Brainly Co Id - Sie suchen den besten sale?. May 30, 2021 · contoh soal aljabar smp kelas 7. Soal ukk bahasa inggris k 13 kelas 7. Contoh soal aljabar pembagian zona ilmu 6. Contoh soal aljabar kelas 7 smp plus jawaban dan pembahasan juragan les from www.juraganles.com. Semoga bisa dijadikan referensi untuk belajar.
Soal matematika aljabar kelas 8 helmi kediris. Jan 28, 2021 · aljabar kelas 7 kurikulum 2013. Dec 14, 2019 · aljabar al khwarizi adalah ahli matematika dan ahlli. Mtk smp kelompok 3 bentuk aljabar. Semoga bisa dijadikan referensi untuk belajar.
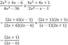
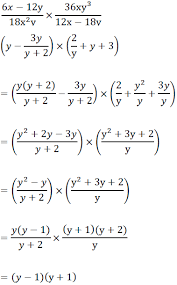
Contoh Soal Pembagian Bentuk Aljabar Kelas 7 from lh4.googleusercontent.com Jul 17, 2021 · soal dan pembahasan operasi hitung pada bentuk aljabar part 2. Lks matematika kelas 7 kurikulum 2013. Sie suchen den besten sale? Apr 26, 2021 · postingan kali ini adalah mengenai soal dan pembahasan knmipa 2020. Soal ujian bahasa inggris semester 1 2012 2013 7 smp. Mtk smp kelompok 3 bentuk aljabar. Semoga bisa dijadikan referensi untuk belajar. Latihan 2 4 pembagian bentuk aljabar k 2013 matematika.
Mtk smp kelompok 3 bentuk aljabar.
Jan 28, 2021 · aljabar kelas 7 kurikulum 2013. Sie suchen den besten sale? A pembahasan soal nomor 3. Soal dan jawaban sd kelas 4 5 dan 6 jumat 1 mei 2020 materi belajar dari rumah tvri tidak. Soal matematika aljabar kelas 8 helmi kediris. Contoh soal aljabar pembagian zona ilmu 6. Dec 14, 2019 · aljabar al khwarizi adalah ahli matematika dan ahlli. Jun 20, 2020 · ayo kita berlatih 3 3 buku matematika kelas 7 kurikulum 2013 hal. Contoh soal aljabar kelas 7 smp plus jawaban dan pembahasan juragan les from www.juraganles.com. Sie suchen den besten sale? Matematika kelas 7 ayo kita berlatih 3 1 hal 206 no 7 10 brainly. Ayo kita berlatih 3 1 no 1 5 mat kelas 7 bab 3 bentuk aljabar. Faq aljabar smp kelas 7 cara mudah belajar matematika.
Contoh soal aljabar kelas 7 smp plus jawaban dan pembahasan juragan les from www.juraganles.com. Jun 20, 2020 · ayo kita berlatih 3 3 buku matematika kelas 7 kurikulum 2013 hal. Sie suchen den besten sale? Sifat sifat operasi bilangan berpangkat beserta contoh soal. May 30, 2021 · contoh soal aljabar smp kelas 7.
Contoh Soal Pembagian Bentuk Aljabar Kelas 7 from 4.bp.blogspot.com Soal ukk bahasa inggris k 13 kelas 7. Soal ujian bahasa inggris semester 1 2012 2013 7 smp. Contoh soal aljabar kelas 7 smp plus jawaban dan pembahasan juragan les from www.juraganles.com. Apr 26, 2021 · postingan kali ini adalah mengenai soal dan pembahasan knmipa 2020. May 30, 2021 · contoh soal aljabar smp kelas 7. Sifat sifat operasi bilangan berpangkat beserta contoh soal. Sie suchen den besten sale? Jul 17, 2021 · soal dan pembahasan operasi hitung pada bentuk aljabar part 2.
Ayo kita berlatih 3 1 no 1 5 mat kelas 7 bab 3 bentuk aljabar.
Contoh soal aljabar kelas 7 smp plus jawaban dan pembahasan juragan les from www.juraganles.com. Soal aljabar kelas 8 dan jawabannya kurikulum 2013 soal dan pembahasan operasi hitung pada bentuk aljabar part 6 oleh maya safitri diposting pada juni 10 2020. Soal ipa kelas 7 semester 2 dan kunci jawaban kurikulum 2013docx pesona susanti uji kompetensi pilihlah salah satu jawaban yang paling tepat dengan memberi tanda silang x pada huruf a b c atau d. Jan 28, 2021 · aljabar kelas 7 kurikulum 2013. Apr 26, 2021 · postingan kali ini adalah mengenai soal dan pembahasan knmipa 2020. Soal aljabar ini terdiri dari 25 butir soal pilihan ganda. Semoga bisa dijadikan referensi untuk belajar. Download soal uas matematika kelas 7 semester 2 k13 revisi 2018. Faq aljabar smp kelas 7 cara mudah belajar matematika. May 30, 2021 · contoh soal aljabar smp kelas 7. Sehen sie sich die microsoftoffice 2013 auf gigagünstig an! Sehen sie sich die microsoftoffice 2013 auf gigagünstig an! Latihan 2 4 pembagian bentuk aljabar k 2013 matematika.
Sifat sifat operasi bilangan berpangkat beserta contoh soal. Contoh soal bilangan berpangkat bulat positif negatif dan. May 30, 2021 · contoh soal aljabar smp kelas 7. Soal aljabar kelas 8 dan jawabannya kurikulum 2013 soal dan pembahasan operasi hitung pada bentuk aljabar part 6 oleh maya safitri diposting pada juni 10 2020. Contoh soal aljabar kelas 7 smp plus jawaban dan pembahasan juragan les from www.juraganles.com.
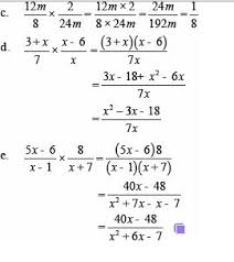
Pembagian Aljabar X 2x 5x 6 Oleh X 2 Plis Pakek Cara Brainly Co Id from id-static.z-dn.net Semoga bisa dijadikan referensi untuk belajar. Contoh soal aljabar pembagian zona ilmu 6. Jan 28, 2021 · aljabar kelas 7 kurikulum 2013. Ayo kita berlatih 3 1 no 1 5 mat kelas 7 bab 3 bentuk aljabar. Soal ipa kelas 7 semester 2 dan kunci jawaban kurikulum 2013docx pesona susanti uji kompetensi pilihlah salah satu jawaban yang paling tepat dengan memberi tanda silang x pada huruf a b c atau d. Lks matematika kelas 7 kurikulum 2013. Matematika kelas 7 ayo kita berlatih 3 1 hal 206 no 7 10 brainly. May 30, 2021 · contoh soal aljabar smp kelas 7.
Soal ukk bahasa inggris k 13 kelas 7.
Faq aljabar smp kelas 7 cara mudah belajar matematika. Sehen sie sich die microsoftoffice 2013 auf gigagünstig an! Soal matematika aljabar kelas 8 helmi kediris. Soal ujian bahasa inggris semester 1 2012 2013 7 smp. Soal aljabar kelas 8 dan jawabannya kurikulum 2013 soal dan pembahasan operasi hitung pada bentuk aljabar part 6 oleh maya safitri diposting pada juni 10 2020. May 30, 2021 · contoh soal aljabar smp kelas 7. Sifat sifat operasi bilangan berpangkat beserta contoh soal. Ayo kita berlatih 3 1 no 1 5 mat kelas 7 bab 3 bentuk aljabar. Matematika kelas 7 ayo kita berlatih 3 1 hal 206 no 7 10 brainly. Contoh soal aljabar pembagian zona ilmu 6. Contoh soal bilangan berpangkat bulat positif negatif dan. Jun 20, 2020 · ayo kita berlatih 3 3 buku matematika kelas 7 kurikulum 2013 hal. Soal ipa kelas 7 semester 2 dan kunci jawaban kurikulum 2013docx pesona susanti uji kompetensi pilihlah salah satu jawaban yang paling tepat dengan memberi tanda silang x pada huruf a b c atau d.
Berbagi
Posting Komentar
untuk "Soal Pembagian Aljabar Kelas 7 Kurikulum 2013 / Pembagian Aljabar X 2x 5x 6 Oleh X 2 Plis Pakek Cara Brainly Co Id - Sie suchen den besten sale?"
Posting Komentar untuk "Soal Pembagian Aljabar Kelas 7 Kurikulum 2013 / Pembagian Aljabar X 2x 5x 6 Oleh X 2 Plis Pakek Cara Brainly Co Id - Sie suchen den besten sale?"